Transparența veniturilor salariale la data de 31 martie 2026
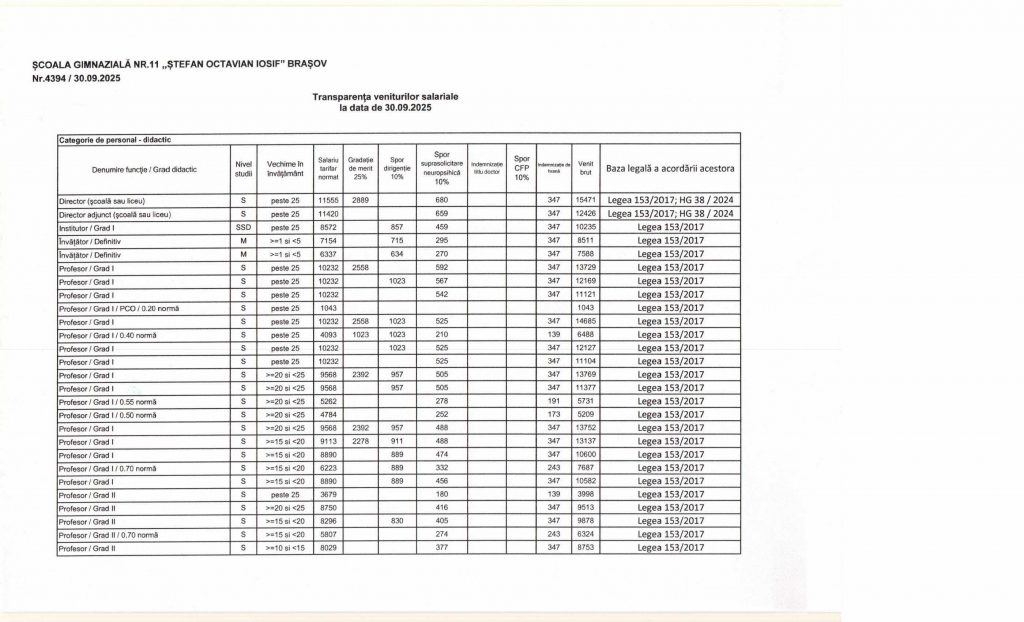
Transparența veniturilor salariale la data de 30 septembrie 2025



Transparența veniturilor salariale la data de 31 martie 2025



Transparența veniturilor salariale la data de 30 septembrie 2024
Transparența veniturilor salariale la data de 31 martie 2024
Transparența veniturilor salariale la data de 30 septembrie 2023
Transparența veniturilor salariale la data de 31 martie 2023